सम्पर्क
गुनासो गर्नुहोस्
गृह मन्त्रालय
टेलिफोन निर्देशिका
नेपाली
English
न्यून व्यान्डविथ
Invert Color
A-
A
A+
नेपाल सरकार
गृह मन्त्रालय
जिल्ला प्रशासन कार्यालय,कैलाली
नेपाल सरकार
गृह मन्त्रालय
जिल्ला प्रशासन कार्यालय,कैलाली
न्यून व्यान्डविथ
Invert Color
A-
A
A+
गृह पृष्ठ
हाम्रो बारे
कार्यालयको परिचय
जिल्लाको परिचय
कर्मचारी विवरण
मातहतका इलाका प्रशासन कार्यालयहरु
इलाका प्रशासन कार्यालय टीकापुर
इलाका प्रशासन कार्यालय सुखड
नागरिक वडापत्र
नागरिक-बडापत्र
प्राप्त राहदानीको विवरण
कुन कोठामा कुन शाखा
प्रगति विवरण
कार्य सम्पादन सम्झौताको प्रगति विवरण
त्रैमासिक प्रगति विवरण
बार्षिक प्रगति विवरण
नागरिक सुनुवाई
घुम्ति शिविर सञ्चालन
मासिक प्रगति विवरण
सूचनाको हक
गुनासो सुन्ने अधिकारीको विवरण
Pro Active Disclosure
परिपत्र
सूचना पाटी
अन्य
विपद् व्यवस्थापन
विपद् पूर्वतयारी तथा प्रतिकार्य योजना (DPRP)
मनसुन पुर्वतयारी तथा प्रतिकार्य योजना, २०७६
मनसुन पुर्वतयारी तथा प्रतिकार्य योजना, २०७८
आपतकालिन कार्य योजना
राहत वितरण सम्वन्धि विवरण
क्षतिको विवरण
कोरोना सम्बन्धि
गेज रिडरहरुको नाम र सम्पर्क नं.
(DDMC) जिल्ला विपद् व्यवस्थापन समितिको निर्णय
घर जग्गाको विवरण
कार्यालयको घर जग्गा लगायतको चल-अचल सम्पतिको विवरण
नेपाल सरकारले अधिग्रहण गरी मुआब्जा दिएका र सट्टा भर्ना दिएका घर जग्गाको विवरण
ऐन नियम संग्रह
नेपाल कानुन आयोग
विविध संग्रह
डाउनलोड
निवेदनको ढाँचा
विविध निर्णय
फाराम
अन्य
सम्पर्क
जन निर्वाचित पदाधिकारीहरुको नाम थर र सम्पर्क नं. (२०७९)
कार्यालय प्रमुख र सूचना अधिकारीको विबरण
विविध सम्पर्क नं.
विविध निर्णय
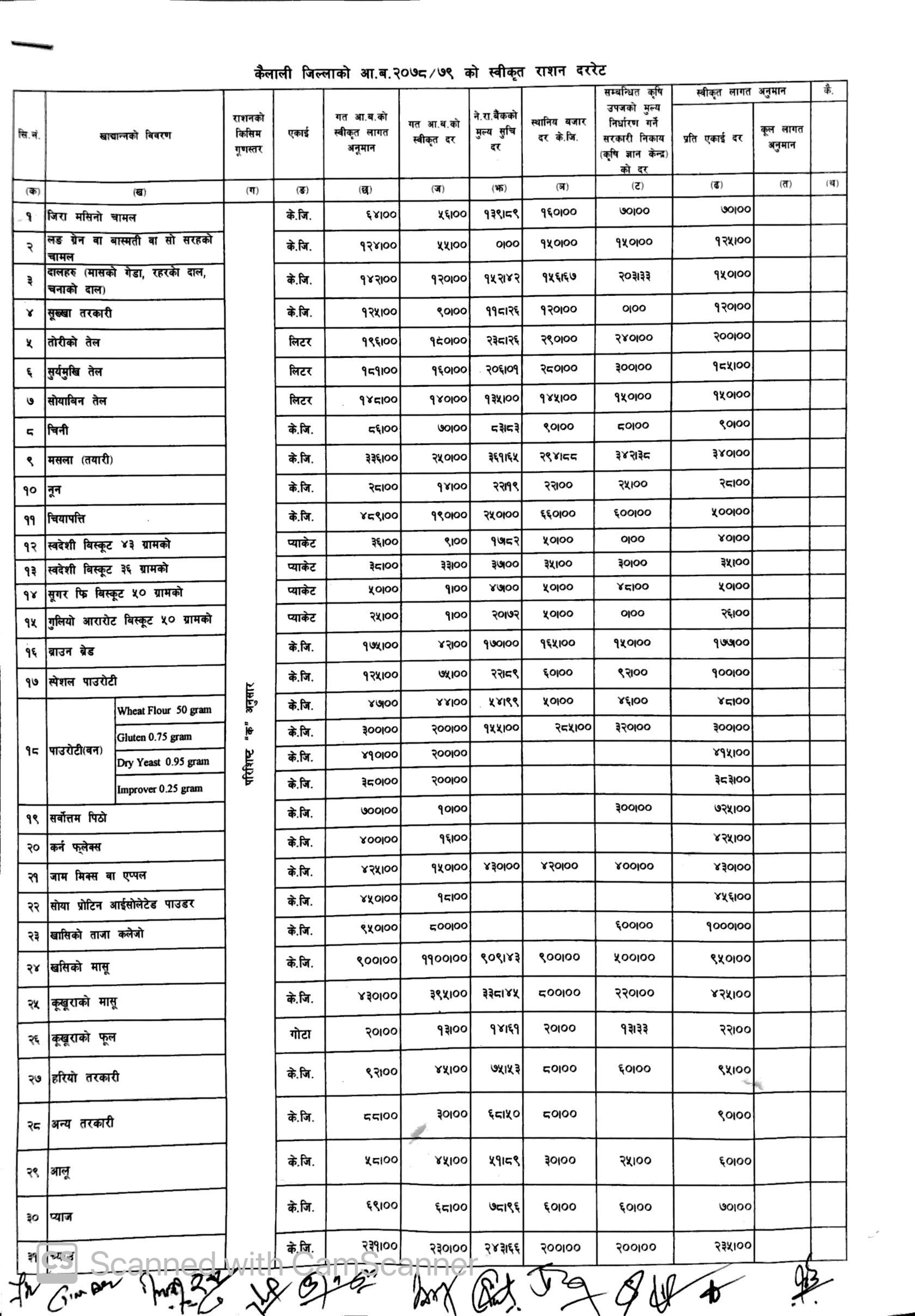
जिल्ला राशन दररेट (०...
जिल्ला राशन दररेट (०७८।७९)
2078-05-31
2078-05-31
फाईलको नाम
डोउनलोड
6F45058B_7F07_4DF6_97E1_8DA7DC8B5849.jpeg
A5656424_31E5_4972_8D7E_8FB2DE7E510E.jpeg
156618B8_65F8_4977_BCF6_78C885302FF2.jpeg
6F45058B_7F07_4DF6_97E1_8DA7DC8B5849.jpeg
A5656424_31E5_4972_8D7E_8FB2DE7E510E.jpeg
156618B8_65F8_4977_BCF6_78C885302FF2.jpeg
विविध निर्णय
07
कार्तिक
समर्थन मूल्य कार्यान्वयन सम्बन्धि निर्णय
6 महिना अगाडी
07
कार्तिक
समर्थन मूल्य कार्यान्वयन सम्बन्धि निर्णय
6 महिना अगाडी
30
भाद्र
जिल्ला राशन दररेट (०८२।८३)
7 महिना अगाडी
29
अषाढ
जिल्ला दररेट (आ.व. ०८२।८३)
9 महिना अगाडी
31
भाद्र
जिल्ला राशन दररेट (०८१।८२)
2081-05-31
28
अषाढ
जिल्ला दररेट (आ.व. ०८१।८२)
2081-03-28
29
भाद्र
जिल्ला राशन दररेट (०८०।८१)
2080-05-29
सबै हेर्नुहोस
पछिल्लो अपडेट गरिएको : 2083-01-09 09:46:35
© सर्वाधिकार सुरक्षित जिल्ला प्रशासन कार्यालय,कैलाली
.